你好,我是黄申。
你平时应该见过手机App推送的新闻吧?你有没有觉得这些App的推荐算法很神奇?它们竟然可以根据你的喜好来推荐新闻。想要实现这些推荐算法,有一个非常重要的步骤就是给新闻分类。可是,新闻头条这种综合性的平台,需要处理的新闻都是海量的,我们不可能完全靠人工手动处理这些事情。这个时候,我们就要用到计算机技术,来对文本进行自动分类。
上一节,我给你介绍了如何利用朴素贝叶斯方法,教会计算机进行最基本的水果分类。基于水果分类,今天我们继续深入分类这个话题,告诉你如何利用自然语言处理和朴素贝叶斯方法,对新闻这种长篇文本进行分类。
文本分类系统的基本框架
想要实现一个完整的文本分类系统,我们通常需要进行这些步骤:
1.采集训练样本
对于每个数据对象,我们必须告诉计算机,它属于哪个分类。上一节的水果案例里,我们给每个水果打上“苹果”“甜橙”和“西瓜”的标签,这就是采集训练样本。
同样,我们可以给每一篇新闻打上标签,也就是说,我们首先要分辨某条新闻是什么类型的,比如是政治的、军事的、财经的、体育的,还是娱乐的等等。这一点非常关键,因为分类标签就相当于计算机所要学习的标准答案,其质量高低直接决定了计算机的分类效果。此外,我们也可以在一开始就预留一些训练样本,专门用于测试分类的效果。
2.预处理自然语言
在水果的案例中,当我们把这些水果的特征值提取出来后,能很容易地将它们的属性转化成计算机所能处理的数据,可是这一步对于文本而言就没有那么容易了。好在专家们已经发明出了一套相对成熟的方法,包括词包(bag of words)、分词、词干(Stemming)和归一化(Normalization)、停用词(Stopword)、同义词(Synonyms)和扩展词处理。这里你只需要了解有这么些方法就可以了,我们使用这些方法的目的就是让计算机能够理解文本,所以如果你对刚才提到的这些专业词汇比较陌生,完全不用担心,这并不会影响对后面知识的理解。
3.训练模型
训练模型就是算法通过训练数据进行模型拟合的过程。对于朴素贝叶斯方法而言,训练的过程就是要获取每个分类的先验概率、每个属性的先验概率以及给定某个分类时,出现某个属性的条件概率。
4.实时分类预测
算法模型在训练完毕后,根据新数据的属性来预测它属于哪个分类的过程。对于朴素贝叶斯方法而言,分类预测的过程就是根据训练阶段所获得的先验概率和条件概率,来预估给定一系列属性的情况下属于某个分类的后验概率。
整个流程大致可以用下图来描述:

这四个步骤你大致了解就可以了,这里面有两点我会重点讲一下,一是对文本中的自然语言进行预处理,并从文本集合建立字典;另一个是如何使用建好的字典,统计朴素贝叶斯方法所需的数据。自然语言的预处理是让计算机“理解”人类语言的关键步骤,如果没有这一步,计算机就无法将大量的自然语言转换成自己可以处理的数据。而条件概率和先验概率是朴素贝叶斯方法所必需的,因此如何准确地统计它们也是需要详细解释的。
基于自然语言的预处理
和之前的水果案例相比,新闻这种文本数据最大的区别在于,它包含了大量的自然语言。那么如何让计算机理解自然语言呢?我们的计算机体系没有思维,要理解人类的语言在现阶段是不现实的。但是,我们仍然可以对自然语言进行适当的处理,将其变为机器所能处理的数据。
首先,我们要知道,文本的重要属性是什么,这样我们才能提取出它的特征。怎么才能知道哪些属性是重要的呢?
我举个例子,假如说,有人给你一篇几千字的文章,让你在10秒钟之内说出文章大意,你会怎么办?我想大部分人的解决方案是“找关键词”!没错,我们也可以教给计算机同样的办法。而计算机处理文本的基本单位就是字和单词,这就是人们最常用的方法:词袋(Bag of words)模型。
这种模型会忽略文本中的词语出现的顺序以及相应的语法,将整篇文章仅仅看作是一个大量单词的组合。文本中每个词的出现都是独立的,不依赖于其他词的出现情况。讲到这里,你有没有发现在词包模型中,所有单词相互之间是独立的,这个假设和朴素贝叶斯模型的独立假设是不是一致呀?
没错!这里我们就可以很巧妙地将朴素贝叶斯和文本处理结合起来了。不过先不要急,我们还要掌握一些方法,才能将文本中的长篇大论处理成关键词。
1.分词
计算机处理自然语言的基本单位是单词和词组。对于英语等拉丁语系的语言来说,单词之间是以空格作为自然分界符的,所以我们可以直接使用空格对句子进行分割,然后来获取每个单词。但是,中文、日文、韩文这些语言在书写的时候,词和词之间并没有空格可以进行自然分界,所以我们就需要使用一些算法,来估计词语之间的划分,我们将这个过程称为分词。
这里有一个给中文句子分词的例子,你可以看一看。
1 | 分词前:今天我们一起来学习计算机学科中的数学知识 |
是不是觉得给句子分词很简单?这是因为你的中文水平比较高,你想想,计算机怎么才能知道如何分词呢?我们有很多现成的分词模型可以使用。我这里介绍两种目前比较主流的分词模型,你只需要了解就行。
第一种是基于字符串匹配。其实就是扫描字符串。如果发现字符串的子串和词相同,就算匹配成功。匹配规则通常是“正向最大匹配”“逆向最大匹配”“长词优先”。这些算法的优点是只需使用基于字典的匹配,因此计算复杂度低;缺点是处理歧义词效果不佳。
第二种是基于统计和机器学习。这类分词基于人工标注的词性和统计特征,对中文进行建模。训练阶段,根据标注好的语料对模型参数进行估计。在分词阶段再通过模型计算各种分词出现的概率,将概率最大的分词作为最终结果。常见的序列标注模型有隐马尔科夫模型(HMM,Hidden Markov Model)和条件随机场(CRF,Conditional Random Field),我们后面章节会讲到,这里我先不展开。
2.取词干和归一化
我们刚才说了,相对中文而言,英文完全不需要考虑分词。不过它也有中文不具有的单复数、各种时态,因此它需要考虑取词干(stemming)。取词干的目标就是为了减少词的变化形式,将派生词转化为基本形式,就像下面这样:
1 | 将am,is,are,was,were全部转换为be |
最后,我们还要考虑大小写转化和多种拼写(例如color和colour)这样的统一化,我们把这种做法称为归一化。
3.停用词
无论何种语言,都会存在一些不影响(或基本不影响)相关性的词。有的时候干脆可以指定一个叫停用词(stop word)的字典,直接将这些词过滤,不予以考虑。例如英文中的a、an、the、that、is、good、bad等。中文“的、个、你、我、他、好、坏”等。
如此一来,我们可以在基本不损失语义的情况下,减少数据文件的大小,提高计算机处理的效率。当然,也要注意停用词的使用场景,例如用户观点分析,good和bad这样的形容词反而成为了关键。不仅不能过滤,反而要加大它们的权重。
4.同义词和扩展词
不同的地域或者不同时代,会导致人们对于同样的物品叫法也不同。例如,在中国北方“番茄”应该叫“西红柿”,而台湾地区将“菠萝”称为“凤梨”。对于计算机而言,需要意识到这两个词是等价的。添加同义词就是一个很好的手段。我们可以维护如下一个同义词的词典:
1 | 番茄,西红柿 |
有了这样的词典,当看到文本中出现“番茄”关键词的时候,计算机系统就会将其等同于“西红柿”这个词。有的时候我们还需要扩展词。如果简单地将Dove分别和多芬、德芙简单地等价,那么多芬和德芙这两个完全不同的品牌也变成了同义词,这样做明显是有问题的。那么我们可以采用扩展关系,当系统看到文本中的“多芬”时将其等同于“Dove”,看到“德芙”时将其等同于“Dove”。但是看到“Dove”的时候并不将其等同于“多芬”或“德芙”。
通过词包模型的假设,以及上述这些自然语言处理的方法,我们可以将整篇的文字,切分为一个个的单词,这些是表示文章的关键属性。你不难发现,每个单词可以作为文章的属性,而通过这些单词的词频(出现的频率),我们很容易进行概率的统计。下面我对分类的先验概率、单词的先验概率、某个分类下某个单词的条件概率分别给出了示例。



在上表中,你会发现某些单词从未在某个分类中出现,例如“航母”这个词从未在“体育”和“娱乐”这两个分类中出现。对于这种情况,我们可以使用平滑(smoothing)的技术,将其词频或条件概率设置为一个极小的值。这里,我设置了最小的词频,也就是1。
有了这些单词属性以及相应的概率统计,下一步就是如何使用朴素贝叶斯模型进行文本的分类了。
运用朴素贝叶斯模型
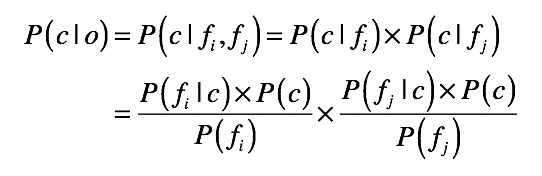
首先我们先来回顾下,上一节推导的朴素贝叶斯公式。

在新闻分类中,o就表示一篇文章,而c表示新闻的种类(包括政治、军事、财经等等)。而属性字段f就是我们从文档集而建立的各种单词。公式等号左边的**P(c|f)**就是待分类新闻中,出现单词f时,该新闻属于类别c的概率。而等号右边的P(f|c)是根据训练数据统计,得到分类c中出现单词f的概率。P( c )是分类c在新闻训练数据中出现的概率,P(f)是单词f在训练样本中出现的概率。
我们用刚才表格中的数据来计算下“中国航母”这个短语属于每个分类的概率。





可以看出来,“中国航母”这个短语本身属于“政治”和“军事”分类的可能性最高,而属于“财经”的可能性最低。需要注意的是,我在上述公式使用了中文词便于你的理解,在真正的实现中,我们需要将中文词和中文分类名称转换为数字型的ID,以提高系统的效率。
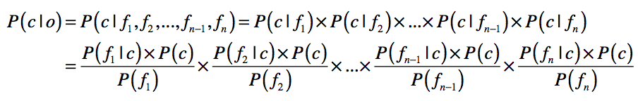
当然,一篇文章所包含的不同的单词数量要远远大于2个,之前如果我们只看“中国航母”这个短语,那么它属于“政治”和“军事”的概率基本一致。如果我们考虑更长的文章(也就是更多的单词),那么这个情况也许就会发生变化。为了支持更多的单词,我们将上述公式扩展为:

这里需要注意一个很实际的问题:文章的篇幅很长,常常会导致非常多的P(f|c)连续乘积。而P(f|c)通常是非常小的数值,因此最后的乘积将快速趋近于0以至于计算机无法识别。这里可以使用我们之前提到的一些数学手法进行转换,比如取log,将小数转换为绝对值大于1的负数。这样的转换,虽然会改变每篇文章属于每个分类的概率的绝对值,但是并不会改变这些概率的相对大小。
总结
在这一讲中,我讲了一个文本分类系统的几个关键步骤,其中最重要的是自然语言的处理和分类模型的训练和预测。
自然语言的处理是关键的预处理步骤,它将文本转换成计算机所能处理的数据。常见方法包括中文分词,英文的取词干和归一化,还有适用于各种语言的停用词、同义词和扩展词等。如果不考虑这些词出现的先后顺序,以及表达的深层次语义,那么我们就可以使用词包的方法,将大段的文章和语句转化成单词所组成的集合。之后,我们就能统计每个单词属于每个分类的条件概率,以及分类和单词的先验概率。
一旦将文章表示为单词的集合,我们就会发现,朴素贝叶斯的模型非常适合文章的分类。因为所有单词出现的词频都是离散值,非常适合统计概率。此外,许多新闻之类的文章本身也是跨了多个领域,因此有可能属于多个分类,朴素贝叶斯也能支持这点。我们针对“中国航母”这个短语进行了测试,发现其属于“政治”和“军事”分类的可能性最高。不过要注意的是,文章可能包含非常多的单词,朴素贝叶斯模型中的连续乘积会导致过小的值,甚至计算机都无法处理。为了避免这种情况,我们可以使用log的数学变换。
思考题
你也许已经通过“中国航母”这个简单的例子,见识到了计算机自动分类的神奇功效。使用同样的分类模型和概率分布,你能否计算一下“美国电影”属于政治、军事、财经、体育和娱乐分类的概率,分别是多少?
欢迎留言和我分享,也欢迎你在留言区写下今天的学习笔记。你可以点击“请朋友读”,把今天的内容分享给你的好友,和他一起精进。